Are you struggling with calculus homework? Don’t worry, we’ve got you covered! Our website offers a wide range of free printable calculus worksheets to help you practice and improve your skills.
Whether you’re a high school student preparing for exams or a college student looking to ace your calculus course, our worksheets are designed to cater to all levels of learners. With clear instructions and step-by-step solutions, you’ll be able to tackle even the most challenging calculus problems with ease.
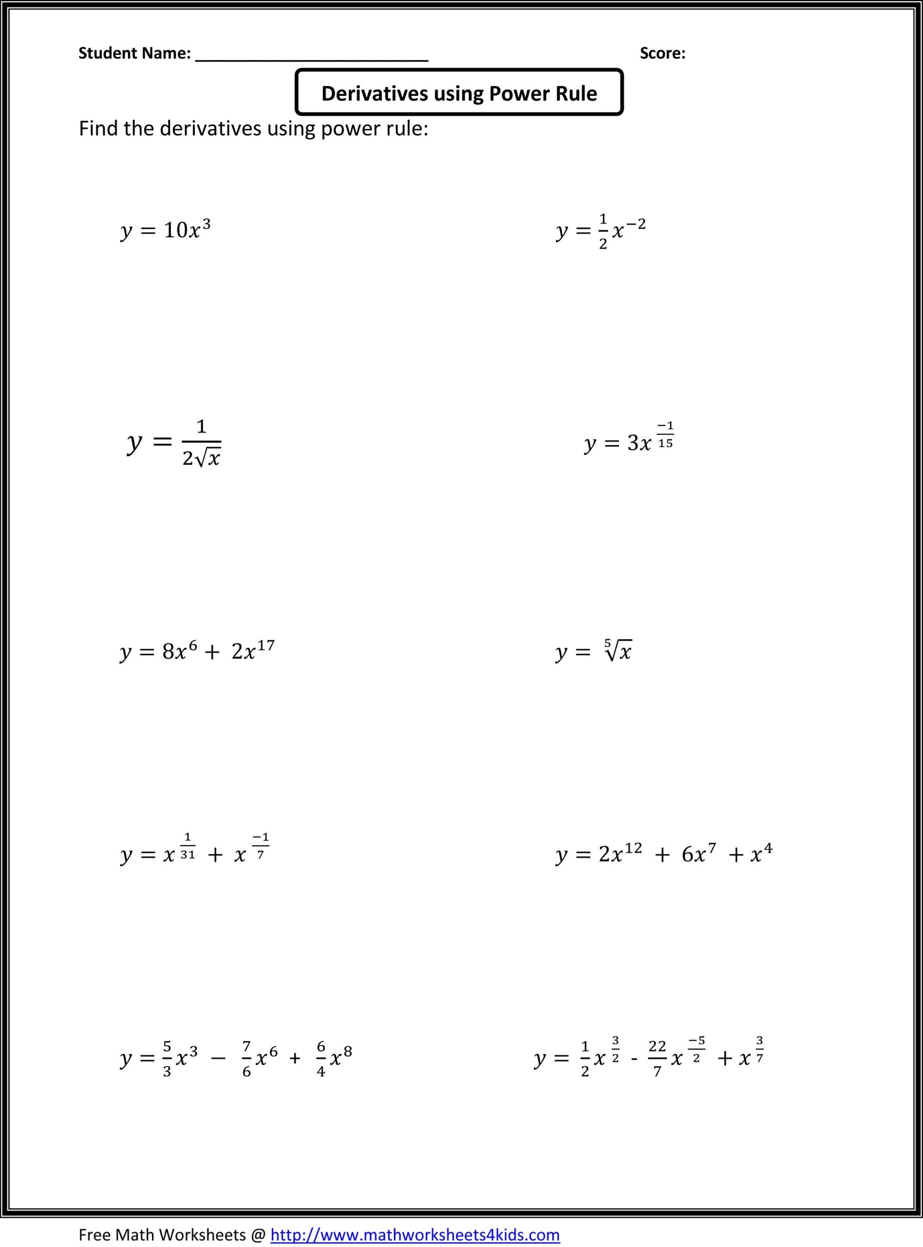
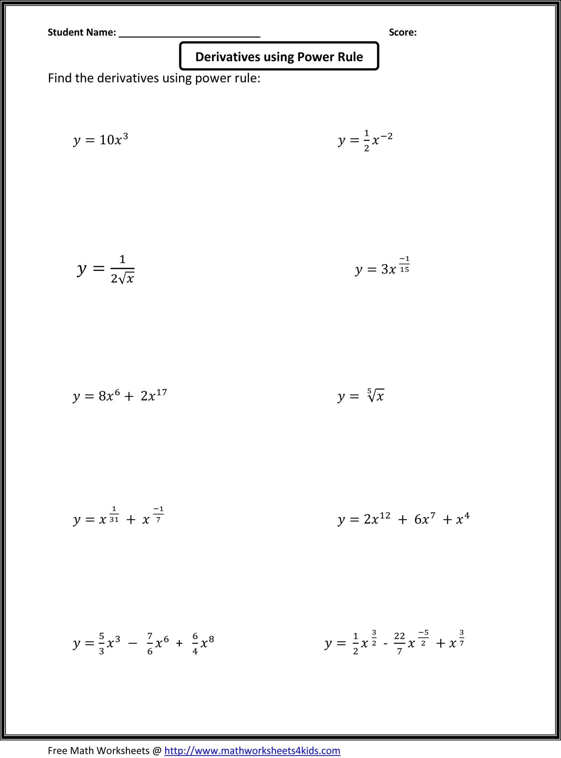
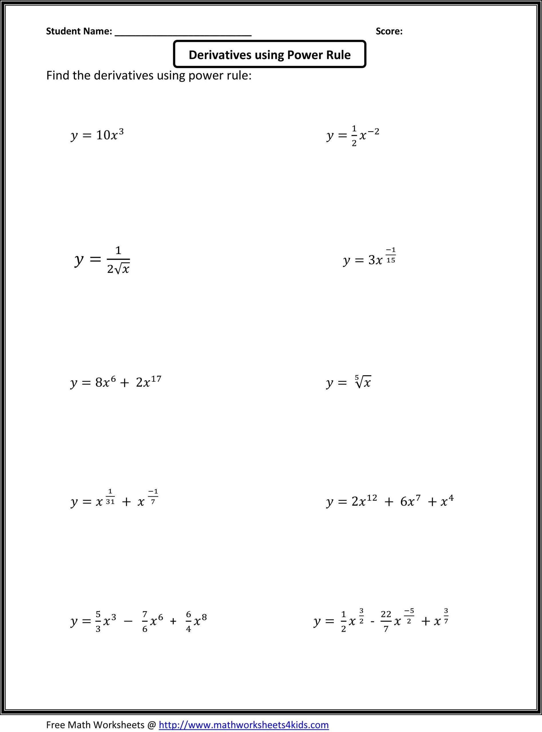
Free Printable Calculus Worksheets
Free Printable Calculus Worksheets
From derivatives and integrals to limits and functions, our collection of free printable calculus worksheets covers all the essential topics you need to master. Simply download and print the worksheets, grab a pencil, and start practicing!
Each worksheet is carefully crafted by our team of experienced math educators to ensure that you get the most out of your practice sessions. You’ll find a variety of problems that will test your understanding of key calculus concepts and help you build confidence in your problem-solving abilities.
Whether you prefer working on problems related to differential calculus or integral calculus, our worksheets have got you covered. So why wait? Start exploring our free printable calculus worksheets today and take your calculus skills to the next level!
With our free printable calculus worksheets, you’ll be able to sharpen your calculus skills and tackle challenging problems with confidence. So don’t hesitate to give them a try and see the difference they can make in your learning journey. Happy practicing!
Free Printable Customizable Math Worksheet Templates Canva
Free Math Worksheets
Calculus Related Factoring Printable MySchoolsMath Worksheets Library
50 Calculus Worksheets On Quizizz Free U0026 Printable Worksheets Library
Calculus Worksheets Basic Concepts In Differentiation And Worksheets Library




