If you’re looking for precalculus worksheets that are free and printable, you’ve come to the right place! Whether you’re a student brushing up on your math skills or a teacher in need of resources, these worksheets are perfect for you.
With a wide variety of topics covered, from functions to trigonometry, these precalculus worksheets offer a great way to practice and reinforce your understanding of key concepts. Best of all, you can access them for free and print them out at your convenience.
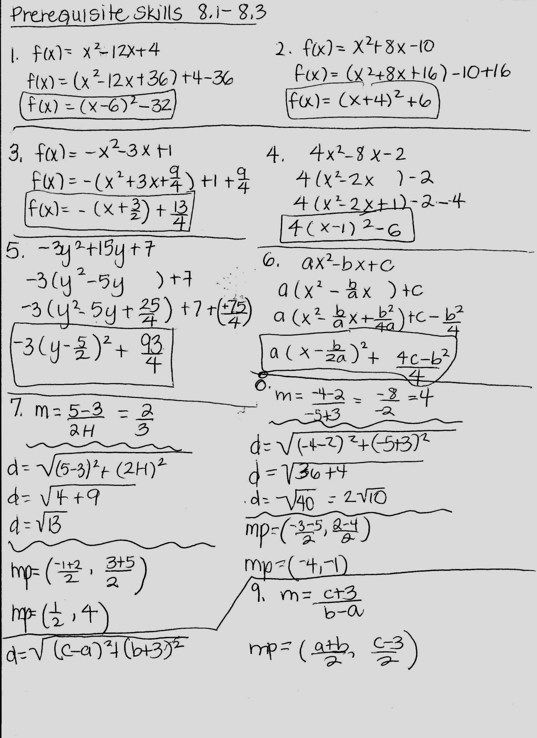
Precalculus Worksheets Free Printable
Precalculus Worksheets Free Printable
Whether you’re studying for an upcoming exam or simply want to sharpen your math skills, these free printable precalculus worksheets are a valuable resource. From solving equations to graphing functions, each worksheet is designed to help you master important precalculus concepts.
Don’t let precalculus intimidate you! With these free printable worksheets, you can work through problems at your own pace and gain the confidence you need to succeed in your math studies. So go ahead, download and print out these worksheets to start practicing today!
Remember, practice makes perfect, and with these free printable precalculus worksheets, you’ll have plenty of opportunities to hone your skills and improve your understanding of complex math concepts. Whether you’re a student or a teacher, these worksheets are a valuable resource that you won’t want to miss out on.
So why wait? Start exploring our collection of precalculus worksheets today and take your math skills to the next level. With these free printable resources at your fingertips, you’ll be well on your way to mastering precalculus in no time!
Trig Identities Cheat Sheet Free Printable
Prerequisites For Precalculus Linear Equations Part 1

